Understanding Bitcoin’s Battle at the $70,000 Level
Bitcoin Price
Bitcoin Price
Bitcoin (BTCUSD) continues to hover around the critical $70,000 level, leaving traders divided. Is this a sign of underlying strength, or is Bitcoin simply appearing strong within a broader bearish trend?
This debate can be summed up with a classic trading concept: is the market truly “bid,” or just “feeling bid in an offered market”?
Understanding this distinction could help traders avoid costly mistakes, especially in today’s volatile crypto environment.
Bitcoin Price
What Does “Bid in an Offered Market” Mean?
The phrase “feels bid in an offered market” originated in professional forex trading circles and describes a situation where:
Price action appears strong (bid) in the short term but the larger trend remains bearish (offered market)
This concept applies across all asset classes, not just forex, but also stocks, commodities, and cryptocurrencies like Bitcoin.
Why It Matters
- Markets often move in phases of consolidation. During these periods:
- Prices trade in tight, choppy ranges
- Small moves feel larger than they actually are
- Traders may misinterpret temporary strength as a trend reversal
- In reality, what looks like buying pressure may simply be short-term positioning within a broader downtrend.
The Psychology Trap: Why Traders Get Misled
During consolidation phases, emotions can distort perception.
Common pitfalls include:
- Overreacting to small price swings (e.g., $500–$1,000 moves in BTCUSD)
- Mistaking temporary support for long-term strength
- Ignoring higher time frame trends
This is when Bitcoin can feel bullish,even if the macro trend hasn’t changed.
Why the Bigger Picture Always Wins
Professional traders rely heavily on multi-timeframe analysis.. If you only focus on short-term charts:
- You may see bullish momentum
- You may enter trades prematurely
But zooming out often reveals:
- A dominant trend still intact
- Key levels that haven’t been broken
The key question is always: What would it take to actually change the trend?
Is Bitcoin Really a Currency or a Ponzi Scheme? Take a Deep Dive Into the world of Crypto.
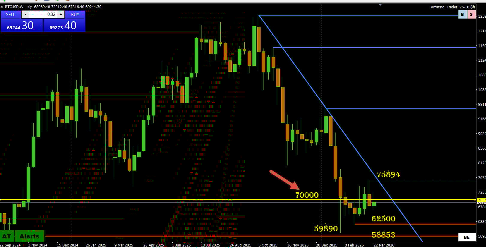
Bitcoin Price Analysis: $70K as the Battlefield
Bitcoin’s current behavior perfectly illustrates this concept.
The “Glass Half Empty” Scenario (Bearish View)
- BTCUSD continues to stall above $70K
- Momentum fails to build on breakouts
- Suggests Bitcoin is “bid in an offered market”
The “Glass Half Full” Scenario (Bullish View)
- BTCUSD consistently finds support below $70K
- Buyers step in on dips
- Suggests genuine underlying demand
Bitcoin Price Weekly Trend Insights
Bitcoin has traded on both sides of $70K in 7 of the last 8 weeks (the only excep tion was a week where the high was $68986)
This signals indecision and consolidation, not a clear trend. The broader trend still leans slightly bearish

Key Breakout Levels to Watch
A breakout move will likely define the next major trend:
- Below $60K → Confirms bearish continuation
- Above $76K → Signals bullish breakout
Until then, Bitcoin may remain stuck in a neutral, range-bound market.
The early warning sign may be a week when $70K does not trade.
The Role of Market Structure in Modern Trading
Today’s markets are more complex than ever:
- Crypto is influenced by cross-asset flows
- Global liquidity and macro conditions play a larger role
- Price moves can be driven by factors beyond simple supply and demand
This means Bitcoin can:
- Appear strong while underlying pressure builds
- Or appear weak while accumulation quietly occurs
Is Bitcoin Really Bullish?
Right now, the jury is still out.
Bitcoin’s behavior around $70K reflects a classic trading dilemma: True bullish strength?Or just temporary buying in a larger bearish structure?
What Traders Should Do
- Stay focused on $60K and $76K a breakout levels
- Avoid emotional decisions during consolidation
- Always analyze higher time frames before acting
- Watch the weekly range and $70K
Bitcoin’s current price action is a textbook example of why perspective matters in trading.
Until a clear breakout occurs, BTCUSD may continue to feel bid (when above $70K) without actually being bullish (or offered when below $70K), a trap that catches even experienced traders.
Note, the opposite is also true. A currency or any asset can be truly offered or just feel offered in a bid market.
